微分の難問!それぞれの関数の〇〇を比較すればOKです【滋賀大学】【数学 入試問題】 - 質問解決D.B.(データベース)

微分の難問!それぞれの関数の〇〇を比較すればOKです【滋賀大学】【数学 入試問題】

問題文全文(内容文):
$a$を$0$以下の定数とする。このとき,$f(x)=2x^3-3(a+2)x^2+8$と$g(x)=-3x^2-6ax$について,次の問いに答えよ。

(1)$x≧0$における$f(x)$の最小値を$m(a)$とする。$m(a)$を$a$の式で表せ。

(2)$s≧0,t≧0$を満たすすべての$s,t$に対して$f(s)≧g(t)$となる$a$の値の範囲を求めよ。

滋賀大過去問
単元: #数Ⅱ#大学入試過去問(数学)#微分法と積分法#学校別大学入試過去問解説(数学)#数学(高校生)
指導講師: 数学・算数の楽しさを思い出した / Ken
問題文全文(内容文):
$a$を$0$以下の定数とする。このとき,$f(x)=2x^3-3(a+2)x^2+8$と$g(x)=-3x^2-6ax$について,次の問いに答えよ。

(1)$x≧0$における$f(x)$の最小値を$m(a)$とする。$m(a)$を$a$の式で表せ。

(2)$s≧0,t≧0$を満たすすべての$s,t$に対して$f(s)≧g(t)$となる$a$の値の範囲を求めよ。

滋賀大過去問
投稿日:2022.11.02

<関連動画>

【高校数学】  数Ⅱ-7  整式の割り算③

アイキャッチ画像
単元: #数Ⅱ#式と証明#整式の除法・分数式・二項定理#数学(高校生)
指導講師: とある男が授業をしてみた
問題文全文(内容文):
①$x^2-2x-1$で割ると、商が$2x-3$、余りが$-2x$になる整式は?

②$x^4-3x^3+2x^2-1$で割ると、商が$x^2+1$、余りが$3x-2$になる整式は?

③$2x^3+ax+10$で割ったときの余りが$-14$であるとき、定数$a$の値は?
この動画を見る 

福田の数学〜慶應義塾大学2025経済学部第6問〜放物線と直線で囲まれた図形の面積

アイキャッチ画像
単元: #数Ⅱ#微分法と積分法#数学(高校生)
指導講師: 福田次郎
問題文全文(内容文):

$\boxed{6}$

$C$を$y=3x^2$で定まる曲線とし、

$C$上に異なる$2$点$A(a,3a^2)$

$B(b,3b^2)$をとる。ただし、$a\lt b$とする。

(1)$C$と直線$AB$で囲まれた図形の面積$S$を、

$a$と$b$を用いて表せ。

ただし、積分を用いて計算し、

積分の計算過程も書くこと。

(2)$2$点$A,B$間の距離が$3$のとき、

(1)で求めた面積$S$の取りうる値の最大値$T$を

求めよ。

(3)$2$点$A,B$間の距離が$3$のとき、

直線$AB$は点$(0,7)$を通らないことを示せ。

$2025$年慶應義塾大学経済学部過去問題
この動画を見る 

【数Ⅱ】【微分法と積分法】方程式の解の個数6 ※問題文は概要欄

アイキャッチ画像
単元: #数Ⅱ#微分法と積分法#接線と増減表・最大値・最小値#数学(高校生)
教材: #4S数学#4S数学Ⅱ+BのB問題解説(新課程2022年以降)#微分法と積分法#中高教材
指導講師: 理数個別チャンネル
問題文全文(内容文):
4次方程式x⁴-4x³-2x²+12x-a=0が異なる4個の実数解を持ち、そのうち2個は正、残りの2個は負であるとき、定数aの値の範囲を求めよ。
この動画を見る 

高専数学 微積I 254 広義積分

アイキャッチ画像
単元: #数Ⅱ#微分法と積分法#数学(高校生)
指導講師: ますただ
問題文全文(内容文):
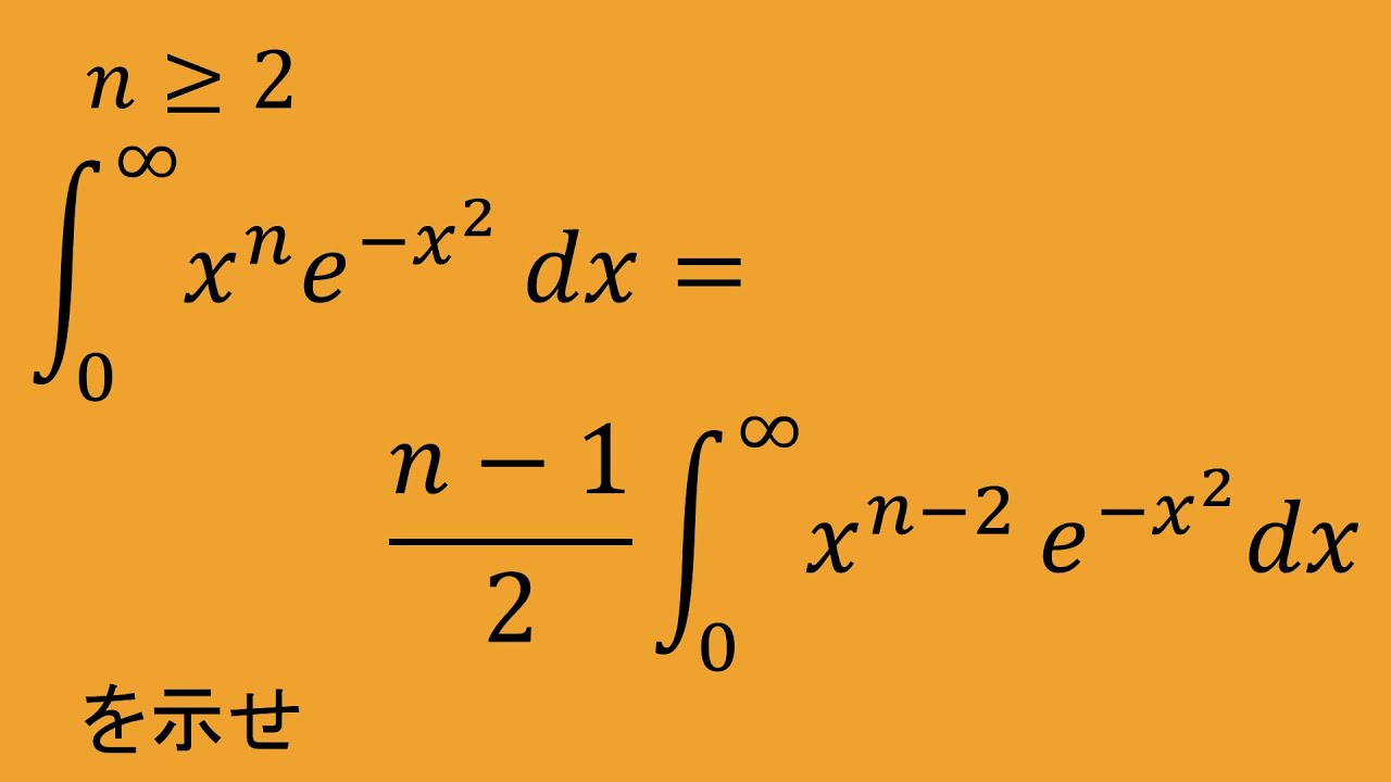
$n\geqq 2$である.
$\displaystyle \int_{0}^{\infty} x^n e^{-x^2} dx=\dfrac{n-1}{2} \displaystyle \int_{0}^{\infty} x^{n-2} e^{-x^2} dx$
が成り立つことを示せ.
この動画を見る 

どっちがでかい?工夫しよう

アイキャッチ画像
単元: #数Ⅱ#指数関数と対数関数#指数関数#数学(高校生)
指導講師: 鈴木貫太郎
問題文全文(内容文):
どちらが大きいか?
$4^9+6^{10}+3^{20}$ VS $5^{12}・2^4$
この動画を見る 
PAGE TOP