数学検定1級
数学検定1級
重積分⑦-5【極座標による変数変換】(高専数学 微積II,数検1級対応)

単元:
#数Ⅱ#数学検定・数学甲子園・数学オリンピック等#微分法と積分法#数学検定#数学検定1級#数学(高校生)
指導講師:
ますただ
問題文全文(内容文):
これを解け.
$\iint_D\\\ y \ dx \ dy$
$D:x^2+y^2\leqq 1,0\leqq y\leqq x$
この動画を見る
これを解け.
$\iint_D\\\ y \ dx \ dy$
$D:x^2+y^2\leqq 1,0\leqq y\leqq x$
重積分⑧-4【一般の変数変換】(高専数学 微積II,数検1級1次解析対応)

単元:
#数Ⅱ#数学検定・数学甲子園・数学オリンピック等#微分法と積分法#数学検定#数学検定1級#数学(高校生)
指導講師:
ますただ
問題文全文(内容文):
これを解け.
$\iint_D \\ \dfrac{2x-y}{x+y}dx\ dy$
$D:1\leqq x+y \leqq 2,1\leqq 2x-y \leqq 3$
この動画を見る
これを解け.
$\iint_D \\ \dfrac{2x-y}{x+y}dx\ dy$
$D:1\leqq x+y \leqq 2,1\leqq 2x-y \leqq 3$
重積分⑨-8【広義積分】(高専数学 微積II,数検1級1次解析対応)

単元:
#数学検定・数学甲子園・数学オリンピック等#積分とその応用#数学検定#数学検定1級#数学(高校生)#数Ⅲ
指導講師:
ますただ
問題文全文(内容文):
これを解け.
(1)$\displaystyle \int_{0}^{\infty} \\ e^{-9x^2}\ dx$
(2)$\displaystyle \int_{-\infty}^{\infty} \\ e^{-4x^2}\ dx$
(3)$\displaystyle \int_{0}^{\infty} \\ e^{-x^2} dx=\dfrac{\sqrt x}{2}$
この動画を見る
これを解け.
(1)$\displaystyle \int_{0}^{\infty} \\ e^{-9x^2}\ dx$
(2)$\displaystyle \int_{-\infty}^{\infty} \\ e^{-4x^2}\ dx$
(3)$\displaystyle \int_{0}^{\infty} \\ e^{-x^2} dx=\dfrac{\sqrt x}{2}$
重積分⑨-7【広義積分】(高専数学 微積II,数検1級1次解析対応)

単元:
#数Ⅱ#数学検定・数学甲子園・数学オリンピック等#微分法と積分法#数学検定#数学検定1級#数学(高校生)
指導講師:
ますただ
問題文全文(内容文):
$D:1\leqq x,1\leqq y$である.
$\iint_D \dfrac{1}{x^2y^2} \ dx \ dy$
これを解け.
この動画を見る
$D:1\leqq x,1\leqq y$である.
$\iint_D \dfrac{1}{x^2y^2} \ dx \ dy$
これを解け.
重積分⑨-6【広義積分】(高専数学 微積II,数検1級1次解析対応)

単元:
#数学検定・数学甲子園・数学オリンピック等#積分とその応用#数学検定#数学検定1級#数学(高校生)#数Ⅲ
指導講師:
ますただ
問題文全文(内容文):
$D:0\leqq x\leqq 1,0\leqq y\leqq 1$とする.
$\iint_D \ \dfrac{1}{\sqrt{xy}}\ dx \ dy$
これを解け.
この動画を見る
$D:0\leqq x\leqq 1,0\leqq y\leqq 1$とする.
$\iint_D \ \dfrac{1}{\sqrt{xy}}\ dx \ dy$
これを解け.
重積分⑨-5【広義積分】(高専数学 微積II,数検1級1次解析対応)

単元:
#数Ⅱ#数学検定・数学甲子園・数学オリンピック等#微分法と積分法#数学検定#数学検定1級#数学(高校生)
指導講師:
ますただ
問題文全文(内容文):
これを解け.
$\iint_D \ \dfrac{1}{\sqrt{x^2+y^2}}\ dx \ dy$
$D:0\leqq x\leqq y\leqq 1$
この動画を見る
これを解け.
$\iint_D \ \dfrac{1}{\sqrt{x^2+y^2}}\ dx \ dy$
$D:0\leqq x\leqq y\leqq 1$
#1 数検準1級一次過去問 連立方程式

単元:
#連立方程式#数A#数学検定・数学甲子園・数学オリンピック等#整数の性質#ユークリッド互除法と不定方程式・N進法#数学検定#数学検定1級#数学(高校生)
指導講師:
ますただ
問題文全文(内容文):
$\boxed{1}$これを解け.
$\begin{eqnarray}
\left\{
\begin{array}{l}
3^{x+1}-2・3^y=-9 \\
\log_2 (x+1)-\log_2 (y+2)=-1
\end{array}
\right.
\end{eqnarray}$
この動画を見る
$\boxed{1}$これを解け.
$\begin{eqnarray}
\left\{
\begin{array}{l}
3^{x+1}-2・3^y=-9 \\
\log_2 (x+1)-\log_2 (y+2)=-1
\end{array}
\right.
\end{eqnarray}$
重積分⑨-4【広義積分】(高専数学 微積II,数検1級1次解析対応)

単元:
#数Ⅱ#数学検定・数学甲子園・数学オリンピック等#微分法と積分法#数学検定#数学検定1級#数学(高校生)
指導講師:
ますただ
問題文全文(内容文):
これを解け.
$\iint_D\ (1+x^2+y^2)^{-\frac{5}{2}}dx\ dy $
$D:x\geqq 0,y \geqq 0$とする.
この動画を見る
これを解け.
$\iint_D\ (1+x^2+y^2)^{-\frac{5}{2}}dx\ dy $
$D:x\geqq 0,y \geqq 0$とする.
微分方程式⑪-2【非線形2階微分方程式】(高専数学、数検1級)

単元:
#数学検定・数学甲子園・数学オリンピック等#微分とその応用#関数の変化(グラフ・最大最小・方程式・不等式)#数学検定#数学検定1級#数学(高校生)#数Ⅲ
指導講師:
ますただ
問題文全文(内容文):
これを解け.
(1)$(y+1)\dfrac{d^2y}{dx^2}+\left(\dfrac{dy}{dx}\right)^2=0$
(2)$y\dfrac{d^2y}{dx^2}=1-\left(\dfrac{dy}{dx}\right)^2$
この動画を見る
これを解け.
(1)$(y+1)\dfrac{d^2y}{dx^2}+\left(\dfrac{dy}{dx}\right)^2=0$
(2)$y\dfrac{d^2y}{dx^2}=1-\left(\dfrac{dy}{dx}\right)^2$
微分方程式⑪-1【非線形2階微分方程式】(高専数学、数検1級)

単元:
#数学検定・数学甲子園・数学オリンピック等#微分とその応用#関数の変化(グラフ・最大最小・方程式・不等式)#数学検定#数学検定1級#数学(高校生)#数Ⅲ
指導講師:
ますただ
問題文全文(内容文):
これを解け.
(1)$\dfrac{dy}{dx^2}+\left(\dfrac{dy}{dx}\right)^2=0$
(2)$\dfrac{d^2y}{dx^2}=\sqrt{1-\left(\dfrac{dt}{dx}\right)^2}$
この動画を見る
これを解け.
(1)$\dfrac{dy}{dx^2}+\left(\dfrac{dy}{dx}\right)^2=0$
(2)$\dfrac{d^2y}{dx^2}=\sqrt{1-\left(\dfrac{dt}{dx}\right)^2}$
微分方程式⑩-2【定数係数でない微分方程式】(高専数学、数検1級)

単元:
#数学検定・数学甲子園・数学オリンピック等#微分とその応用#関数の変化(グラフ・最大最小・方程式・不等式)#数学検定#数学検定1級#数学(高校生)#数Ⅲ
指導講師:
ますただ
問題文全文(内容文):
これを解け.
(3)$t^2\dfrac{d^2x}{dt^2}-3t\dfrac{dx}{dt}+4x=0$
(4)$t^2\dfrac{d^2x}{dt^2}+3t\dfrac{dx}{dt}+x=0$
この動画を見る
これを解け.
(3)$t^2\dfrac{d^2x}{dt^2}-3t\dfrac{dx}{dt}+4x=0$
(4)$t^2\dfrac{d^2x}{dt^2}+3t\dfrac{dx}{dt}+x=0$
微分方程式⑩-1【定数係数でない微分方程式】(高専数学、数検1級)

単元:
#数学検定・数学甲子園・数学オリンピック等#微分とその応用#関数の変化(グラフ・最大最小・方程式・不等式)#数学検定#数学検定1級#数学(高校生)#数Ⅲ
指導講師:
ますただ
問題文全文(内容文):
これを解け.
(1)$t^2\dfrac{d^2x}{dt^2}+t\dfrac{dx}{dt}-x=0$
(2)$t^2\dfrac{d^2x}{dt^2}-3t\dfrac{dx}{dt}+3x=0$
この動画を見る
これを解け.
(1)$t^2\dfrac{d^2x}{dt^2}+t\dfrac{dx}{dt}-x=0$
(2)$t^2\dfrac{d^2x}{dt^2}-3t\dfrac{dx}{dt}+3x=0$
微分方程式⑨【連立微分方程式】(高専数学、数検1級)

単元:
#数学検定・数学甲子園・数学オリンピック等#微分とその応用#関数の変化(グラフ・最大最小・方程式・不等式)#数学検定#数学検定1級#数学(高校生)#数Ⅲ
指導講師:
ますただ
問題文全文(内容文):
$\begin{eqnarray}
\left\{
\begin{array}{l}
\dfrac{dx}{dt}=4y-\cos t \\
\dfrac{dy}{dt}=-x+\sin t
\end{array}
\right.
\end{eqnarray}$
これを解け.
この動画を見る
$\begin{eqnarray}
\left\{
\begin{array}{l}
\dfrac{dx}{dt}=4y-\cos t \\
\dfrac{dy}{dt}=-x+\sin t
\end{array}
\right.
\end{eqnarray}$
これを解け.
微分方程式⑧-4【非同次2階微分方程式】(高専数学、数検1級)

単元:
#数学検定・数学甲子園・数学オリンピック等#微分とその応用#関数の変化(グラフ・最大最小・方程式・不等式)#数学検定#数学検定1級#数学(高校生)#数Ⅲ
指導講師:
ますただ
問題文全文(内容文):
非同次2階微分方程式を解説していきます.
この動画を見る
非同次2階微分方程式を解説していきます.
微分方程式⑦-4【2階微分方程式の一般解を求める】(高専数学、数検1級)

単元:
#数学検定・数学甲子園・数学オリンピック等#微分とその応用#関数の変化(グラフ・最大最小・方程式・不等式)#数学検定#数学検定1級#数Ⅲ
指導講師:
ますただ
問題文全文(内容文):
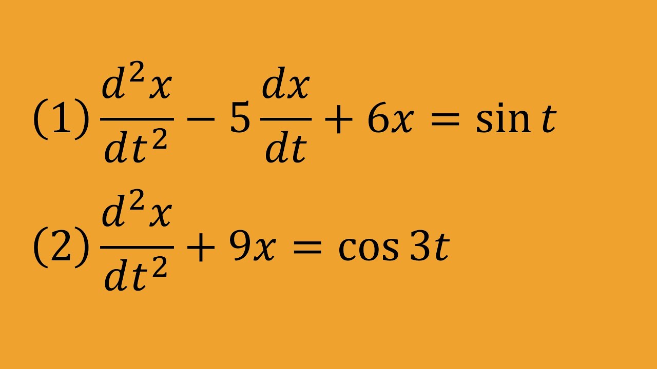
(1)$\dfrac{d^2x}{dt^2}-5\dfrac{dx}{dt}+6x=\sin t$の一般解を求めよ.
(2)$\dfrac{d^2x}{dt^2}+9x=\cos 3t$の一般解を求めよ.
この動画を見る
(1)$\dfrac{d^2x}{dt^2}-5\dfrac{dx}{dt}+6x=\sin t$の一般解を求めよ.
(2)$\dfrac{d^2x}{dt^2}+9x=\cos 3t$の一般解を求めよ.
微分方程式⑦-3【2階微分方程式の一般解を求める】(高専数学、数検1級)

単元:
#数学検定・数学甲子園・数学オリンピック等#微分とその応用#関数の変化(グラフ・最大最小・方程式・不等式)#数学検定#数学検定1級#数Ⅲ
指導講師:
ますただ
問題文全文(内容文):
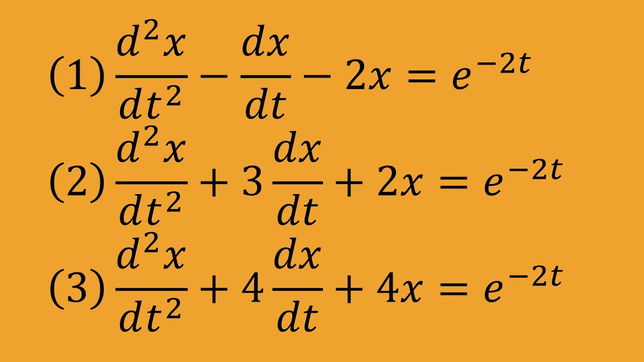
(1)$\dfrac{d^2x}{dt^2}-\dfrac{dx}{dt}-2x=e^{-2t}$
(2)$\dfrac{d^2x}{dt^2}+3\dfrac{dx}{dt}+2x=e^{-2t}$
(3)$\dfrac{d^2x}{dt^2}+4\dfrac{dx}{dt}+4x=e^{-2t}$
(1)~(3)の2階微分方程式の一般解を求めよ.
この動画を見る
(1)$\dfrac{d^2x}{dt^2}-\dfrac{dx}{dt}-2x=e^{-2t}$
(2)$\dfrac{d^2x}{dt^2}+3\dfrac{dx}{dt}+2x=e^{-2t}$
(3)$\dfrac{d^2x}{dt^2}+4\dfrac{dx}{dt}+4x=e^{-2t}$
(1)~(3)の2階微分方程式の一般解を求めよ.
微分方程式⑥【2階微分方程式の一般解】(高専数学、数検1級)

単元:
#数学検定・数学甲子園・数学オリンピック等#微分とその応用#数学検定#数学検定1級#数学(高校生)#数Ⅲ
指導講師:
ますただ
問題文全文(内容文):
$\frac{d^2x}{dt^2}=-2\frac{dx}{dt}$
(1)$x=c_1e^{-2t}+c_2$ $(c_1,c_2:定数)$
は一般解であることを示せ
(2)t=0のときx=1,$\frac{dx}{dt}=2$をみたす解を求めよ
(3)t=0のときx=0
t=1のときx=1
をみたす解を求めよ。
この動画を見る
$\frac{d^2x}{dt^2}=-2\frac{dx}{dt}$
(1)$x=c_1e^{-2t}+c_2$ $(c_1,c_2:定数)$
は一般解であることを示せ
(2)t=0のときx=1,$\frac{dx}{dt}=2$をみたす解を求めよ
(3)t=0のときx=0
t=1のときx=1
をみたす解を求めよ。
微分方程式⑤-1【1階線形微分方程式】(高専数学、数検1級)

単元:
#数学検定・数学甲子園・数学オリンピック等#微分とその応用#数学検定#数学検定1級#数学(高校生)#数Ⅲ
指導講師:
ますただ
問題文全文(内容文):
(1)$\frac{dx}{dt}=- \frac{x}{t}=t+1$
(2)$\frac{dx}{dt}+x=e^{-t}$
(3)$\frac{dx}{dt}+xcost = 2te^{-sint}$
1階線形微分方程式
$\frac{dx}{dt}+P(t)x=Q(t)$
この動画を見る
(1)$\frac{dx}{dt}=- \frac{x}{t}=t+1$
(2)$\frac{dx}{dt}+x=e^{-t}$
(3)$\frac{dx}{dt}+xcost = 2te^{-sint}$
1階線形微分方程式
$\frac{dx}{dt}+P(t)x=Q(t)$
微分方程式④-1【同次形】(高専数学 数検1級)

単元:
#数学検定・数学甲子園・数学オリンピック等#微分とその応用#数学検定#数学検定1級#数学(高校生)#数Ⅲ
指導講師:
ますただ
問題文全文(内容文):
(1)$\frac{dx}{dt}=\frac{x}{t}-\frac{2t}{x}$
(2)$\frac{dx}{dt}=\frac{x}{t}+cos^2\frac{x}{t}$
(3)$\frac{dx}{dt}=\frac{x}{t}+e^{-\frac{x}{t}}$
この動画を見る
(1)$\frac{dx}{dt}=\frac{x}{t}-\frac{2t}{x}$
(2)$\frac{dx}{dt}=\frac{x}{t}+cos^2\frac{x}{t}$
(3)$\frac{dx}{dt}=\frac{x}{t}+e^{-\frac{x}{t}}$
数検1級2次過去問(6番 面積の最大値)

単元:
#数学検定・数学甲子園・数学オリンピック等#微分とその応用#関数の変化(グラフ・最大最小・方程式・不等式)#数学検定#数学検定1級#数学(高校生)#数Ⅲ
指導講師:
ますただ
問題文全文(内容文):
6⃣ 円 : $x^2+y^2=1$上に図のように点Pをとる。
AP+PH
の最大値と、そのときの座標を求めよ。
この動画を見る
6⃣ 円 : $x^2+y^2=1$上に図のように点Pをとる。
AP+PH
の最大値と、そのときの座標を求めよ。
微分方程式③【一般解を求める】(高専数学、数検1級)

単元:
#数学検定・数学甲子園・数学オリンピック等#微分とその応用#数学検定#数学検定1級#数学(高校生)#数Ⅲ
指導講師:
ますただ
問題文全文(内容文):
(1)$\frac{dx}{dt}=\frac{x}{t}$
(2)$\frac{dx}{dt}=\frac{3t^2x}{t^3+1}$
(3)$\frac{dx}{dt}=\frac{x^2+1}{2xt}$
この動画を見る
(1)$\frac{dx}{dt}=\frac{x}{t}$
(2)$\frac{dx}{dt}=\frac{3t^2x}{t^3+1}$
(3)$\frac{dx}{dt}=\frac{x^2+1}{2xt}$
微分方程式②【微分方程式の解】(高専数学、数検1級)

単元:
#数学検定・数学甲子園・数学オリンピック等#微分とその応用#数学検定#数学検定1級#数学(高校生)#数Ⅲ
指導講師:
ますただ
問題文全文(内容文):
$\frac{dx}{dt}=x+e^{2t}$
(1)$x=e^{2t}$が解
(2)$x=e^{2t}+ce^t$が一般解
cは任意定数
(3)t=0,x=-1をみたす特殊解を求めよ。
この動画を見る
$\frac{dx}{dt}=x+e^{2t}$
(1)$x=e^{2t}$が解
(2)$x=e^{2t}+ce^t$が一般解
cは任意定数
(3)t=0,x=-1をみたす特殊解を求めよ。
微分方程式①【微分方程式の最初】(高専数学、数検1級解析)

単元:
#数学検定・数学甲子園・数学オリンピック等#微分とその応用#数学検定#数学検定1級#数学(高校生)#数Ⅲ
指導講師:
ますただ
問題文全文(内容文):
微分方程式
x:tの関数
$\frac{d^nx}{dt^n}+3\frac{d^3x}{dt^3}+2\frac{dx}{dt}+1=0$
(n>3)のとき
n階微分方程式
$\frac{dx}{dt}=-k(x-1):1階微分方程式\cdots*$
$x=(c-1)e^{-kt}+1$
*の解である
$左辺=\frac{dx}{dt}=-k(c-1)e^{-kt}$
$右辺=-k((c-1)e^{-kt}+1-1)$
$=-k(c-1)e^{-kt}$
∴左辺=右辺
c≠0
(1)$x=\frac{c}{t}$が解となる
微分方程式を求めよ
(2)曲線$x=ce^{2t}$が解曲線となる微分方程式を求めよ。
この動画を見る
微分方程式
x:tの関数
$\frac{d^nx}{dt^n}+3\frac{d^3x}{dt^3}+2\frac{dx}{dt}+1=0$
(n>3)のとき
n階微分方程式
$\frac{dx}{dt}=-k(x-1):1階微分方程式\cdots*$
$x=(c-1)e^{-kt}+1$
*の解である
$左辺=\frac{dx}{dt}=-k(c-1)e^{-kt}$
$右辺=-k((c-1)e^{-kt}+1-1)$
$=-k(c-1)e^{-kt}$
∴左辺=右辺
c≠0
(1)$x=\frac{c}{t}$が解となる
微分方程式を求めよ
(2)曲線$x=ce^{2t}$が解曲線となる微分方程式を求めよ。
重積分⑫-2【図形Dの重心】(高専数学 微積II,数検1級1次解析対応)

単元:
#数学検定・数学甲子園・数学オリンピック等#その他#数学検定#数学検定1級#その他#数学(高校生)
指導講師:
ますただ
問題文全文(内容文):
図形Dの重心Gは
$G\begin{pmatrix}
∬_Dxdxdy & ∬_Dydxdy \\
∬_Ddxdy & ∬_Ddxdy
\end{pmatrix}$
(1)$y^2=4x,x=1$
で囲まれた図形Dの重心Gを求めよ。
(2)$\sqrt x+\sqrt y =1$,x軸、y軸で囲まれた図形Dの重心Gを求めよ。
この動画を見る
図形Dの重心Gは
$G\begin{pmatrix}
∬_Dxdxdy & ∬_Dydxdy \\
∬_Ddxdy & ∬_Ddxdy
\end{pmatrix}$
(1)$y^2=4x,x=1$
で囲まれた図形Dの重心Gを求めよ。
(2)$\sqrt x+\sqrt y =1$,x軸、y軸で囲まれた図形Dの重心Gを求めよ。
重積分⑫-1【図形Dの重心】(高専数学 微積II,数検1級1次解析対応)

単元:
#数学検定・数学甲子園・数学オリンピック等#その他#数学検定#数学検定1級#その他#数学(高校生)
指導講師:
ますただ
問題文全文(内容文):
平面上の図形Dの重心Gは
$G\begin{pmatrix}
∬_Dxdxdy & ∬_Dydxdy \\
∬_Ddxdy & ∬_Ddxdy
\end{pmatrix}$
△OABの重心Gは
$G(\frac{0+3+3}{3},\frac{0+0+3}{3})$
$G(2,1)$
*図は動画内参照
この動画を見る
平面上の図形Dの重心Gは
$G\begin{pmatrix}
∬_Dxdxdy & ∬_Dydxdy \\
∬_Ddxdy & ∬_Ddxdy
\end{pmatrix}$
△OABの重心Gは
$G(\frac{0+3+3}{3},\frac{0+0+3}{3})$
$G(2,1)$
*図は動画内参照
重積分⑪【f(x,y)の領域Dにおける平均】(高専数学 微積II,数検1級1次解析対応)

単元:
#数学検定・数学甲子園・数学オリンピック等#その他#数学検定#数学検定1級#数学(高校生)
指導講師:
ますただ
問題文全文(内容文):
$Z=f(x,y)$のDにおける平均
${}^{\exists}h \in \mathbb{R}$
$h×D=∬_D f(x,y)dxdy$
この動画を見る
$Z=f(x,y)$のDにおける平均
${}^{\exists}h \in \mathbb{R}$
$h×D=∬_D f(x,y)dxdy$
重積分⑩-3【曲面の面積】(高専数学 微積II,数検1級1次解析対応)

単元:
#数学検定・数学甲子園・数学オリンピック等#数学検定#数学検定1級#数学(高校生)
指導講師:
ますただ
問題文全文(内容文):
$D:1 \leqq x^2+y^2 \leqq 4$
$Z= \sqrt{x^2+y^2}$
D上の曲面Zの面積Sを求めよ。
この動画を見る
$D:1 \leqq x^2+y^2 \leqq 4$
$Z= \sqrt{x^2+y^2}$
D上の曲面Zの面積Sを求めよ。
重積分⑩-2【曲面の面積】(高専数学 微積II,数検1級1次解析対応)

単元:
#数学検定・数学甲子園・数学オリンピック等#その他#数学検定#数学検定1級#その他#数学(高校生)
指導講師:
ますただ
問題文全文(内容文):
$D:0 \leqq x \leqq 4 $ , $0 \leqq y \leqq 1$
$Z=\sqrt{4-y^2}$
D上の曲面Zの面積を求めよ
この動画を見る
$D:0 \leqq x \leqq 4 $ , $0 \leqq y \leqq 1$
$Z=\sqrt{4-y^2}$
D上の曲面Zの面積を求めよ
重積分⑩-1【曲面の面積】(高専数学 微積II,数検1級1次解析対応)

単元:
#数学検定・数学甲子園・数学オリンピック等#その他#数学検定#数学検定1級#その他#数学(高校生)
指導講師:
ますただ
問題文全文(内容文):
$Z=\sqrt{a^2-x^2-y^2}$
$D:x^2+y^2=b^2$
(a>b>0)
D上の曲面Zの面積Sを求めよ。
この動画を見る
$Z=\sqrt{a^2-x^2-y^2}$
$D:x^2+y^2=b^2$
(a>b>0)
D上の曲面Zの面積Sを求めよ。
重積分⑨-3【広義積分】(高専数学 微積II,数検1級1次解析対応)

単元:
#数学検定・数学甲子園・数学オリンピック等#その他#数学検定#数学検定1級#その他#数学(高校生)
指導講師:
ますただ
問題文全文(内容文):
$\int_0^\infty e{-x^2}dx = \frac{\sqrt x}{2}$
(1)$\int_1^\infty e^{-(x-1)^2}dx$
(2)$\frac{1}{\sqrt{2x}} \int_{-\infty}^\infty e^{- \frac{x^2}{2}}dx$
(3)$\frac{1}{\sigma \sqrt{2x}} \int_{-\infty}^\infty xe^{-\frac{(x-\mu)^2}{2 \sigma^2}}dx$
この動画を見る
$\int_0^\infty e{-x^2}dx = \frac{\sqrt x}{2}$
(1)$\int_1^\infty e^{-(x-1)^2}dx$
(2)$\frac{1}{\sqrt{2x}} \int_{-\infty}^\infty e^{- \frac{x^2}{2}}dx$
(3)$\frac{1}{\sigma \sqrt{2x}} \int_{-\infty}^\infty xe^{-\frac{(x-\mu)^2}{2 \sigma^2}}dx$
